GotAI.NET
Форум: Проблемы искусственного интеллекта
Регистрация
|
Вход
Все темы
|
Новая тема
Стр.25 (55)
<<
< Пред.
|
След. >
>>
Поиск:
Автор
Тема: На: Противоестественный сильный ИИ.
гость
78.25.122.*
На: Противоестественный сильный ИИ.
Добавлено: 11 апр 15 21:13
в русле разговора о сложности подумалось, что мерой (первого приближения т.ск.)
неаддитивной сложности системы может служить удельная взаимная информация I/H(XY).
[
Ответ
][
Цитата
]
гость 31.211.0.*
Сообщений: 1936
На: Противоестественный сильный ИИ.
Добавлено: 12 апр 15 23:52
Изменено: 13 апр 15 0:16
Информация к размышлению.
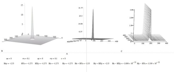
График А - тело неопределённости, в отличии от предыдущего поста с картинками, где на этом месте была условная плотность Wyx(x,y).
1.
2.
3.
4.
[
Ответ
][
Цитата
]
гость
78.25.121.*
На: Противоестественный сильный ИИ.
Добавлено: 13 апр 15 2:46
.. и величина I/H(XY)=I/(H(X)+H(Y)-I)=(H(X)+H(Y))/H(XY)-1
как бы чем больше Н(ХY) (чем меньше I), тем менее интересно в смысле неаддитивной сложности..
[
Ответ
][
Цитата
]
гость 31.211.0.*
Сообщений: 1936
На: Противоестественный сильный ИИ.
Добавлено: 18 апр 15 1:06
Изменено: 18 апр 15 1:07
Собираюсь провести чистку темы. Всем, у кого есть ощущения не релевантности некоторых из своих постов этой теме и в тоже время, имеется ощущения их важности для истории, рекомендую их сохранить. Чистка в 1.06+10 час форумного времени.
[
Ответ
][
Цитата
]
гость
194.150.168.*
На: Противоестественный сильный ИИ.
Добавлено: 18 апр 15 4:42
Цитата:
Автор: гость 31.211.0.*
Собираюсь провести чистку темы. Всем, у кого есть ощущения не релевантности некоторых из своих постов этой теме и в тоже время, имеется ощущения их важности для истории, рекомендую их сохранить. Чистка в 1.06+10 час форумного времени.
Не делайте этого. Уподобитесь хаму и социопату луаврику, который похоронил свою репутацию, снеся 5-летний труд и доверие всего комъюнити.
Удалять можно только явное хамство, оскорбления, рассуждения о гениталиях, коитусе и политике, но не праздные мысли уважаемых господ. Это не приемлемо.
Но Вамрешать...
[
Ответ
][
Цитата
]
Валентин
Сообщений: 4536
На: Противоестественный сильный ИИ.
Добавлено: 19 апр 15 1:19
А я ЗА! Молодец! Оставлять нужно только "конструктив", а все препирательства и самолюбование не в тему - долой!
[
Ответ
][
Цитата
]
Luarvik.
Сообщений: 17287
На: Противоестественный сильный ИИ.
Добавлено: 19 апр 15 3:03
1. Те, кто ходят сюда за репутацией, могли бы найти более подобающее место для ублажения своих комплексов неполноценности...
2. Не 5, а 2.5
3. "Да, человек смертен, но это было бы еще полбеды. Плохо то, что он иногда внезапно смертен, вот в чем фокус!"(M&M)
Ценить и беречь (если есть что) надо при жизни, а не распускать сопли после смерти.
[
Ответ
][
Цитата
]
гость
78.25.122.*
На: Противоестественный сильный ИИ.
Добавлено: 19 апр 15 4:28
люлю косит тут под эдакого мачо, не распускающего сопли, хотя его истерическая выходка
ничем иным не является как этой попыткой срыть свои собственные изрядные сопли (в вопросе о природе информации, о природе активности, о типах машинности, о субъективности и проч.). Правда наш герой не голову отсек обидчику, а рукописи (чужие) сжег втихаря.. Как решит топикстартер, так и будет, только хотелось бы ему пожелать не повторять ошибки имярека. чтобы потом не оправдываться (репутация важная вещь).
[
Ответ
][
Цитата
]
Luarvik.
Сообщений: 17287
На: Противоестественный сильный ИИ.
Добавлено: 19 апр 15 4:34
Те, кто ходят сюда за репутацией, могли бы найти более подобающее место для ублажения своих комплексов неполноценности...
[
Ответ
][
Цитата
]
гость
78.25.122.*
На: Противоестественный сильный ИИ.
Добавлено: 19 апр 15 4:50
в этой ветке обсуждается вопрос как интеллект работает с неопределенностью вообще, а не вопросы самооправдания в данном печальном случае. Репутация складывается помимо воли и желания. Комплекс неполноценности проявляется в неумении вести дискуссию, предпочтении пойти по самому легкому пути - убрать следы разговоров, наносящих ущщерб самомнению и образу себя в чужих глазах (как оно кажется закомплексованному персонажу).
Типо а вот он я, снова такой весь в белом и филологичном перед вами, - ан, нет, репутация-с в памяти общественности..
[
Ответ
][
Цитата
]
NеwPоisk
Сообщений: 174
На: Противоестественный сильный ИИ.
+1
Добавлено: 19 апр 15 4:50
Цитата:
Автор: Luarvik
1. Те, кто ходят сюда за репутацией, могли бы найти более подобающее место для ублажения своих комплексов неполноценности...
Как же Вы ошибётесь… Репутация это ВСЁ в обществе, она отличает бомжа от президента, лоха от лидера, пропорционально репутации качество жизни человека, чем она выше тем больше возможностей и меньше хлопот, отрицают это только те кому нечего терять, они просто злорадствуют в своём отчаянии, пытаясь снять с себя ответственность за свой глобальный фэйл.
Репутация по сути это мера власти, степень убеждённости окружающий в Вашей значимости, а соответственно в Вас потребности и зависимости, репутация делает окружающих слугами, или господами, в зависимости от её количества.
Но увы Вы её потеряли, сделавши меня лидером и господином, Вас в том числе, да Вы и сами это чувствуете, хотя открыто и не признаетесь, я бы тоже не признался, хотя много раз намекал, показывая цифры пропорциональности. Теперь уже не догнать, в основном именно из-за того что потеряна репутация, общество Вас призирает, за в вещей степени оскорбительный поступок. >300 страниц были как толстая книга, вроде «Войны и мир», это был коллективный труд, Вы не имели права предать его праху.
Это позор.
[
Ответ
][
Цитата
]
гость
78.25.122.*
На: Противоестественный сильный ИИ.
Добавлено: 19 апр 15 4:53
фраза про 'праздный труд уважаемых господ' это был прикол, ясное дело, но все-таки в этом есть частица важной правды..
[
Ответ
][
Цитата
]
гость 31.211.0.*
Сообщений: 1936
На: Противоестественный сильный ИИ.
Добавлено: 21 апр 15 13:18
Изменено: 21 апр 15 13:22
Удивительно нервная реакция на намерение просто почистить тему от уводящих в сторону рассуждений.
Напомню, единственной целью инициирования этого обсуждения являлась попытка рационального обоснования опасности СИИ. Поэтому, по большому счёту, релевантным комментарием с учётом заявленной цели, является рациональное обоснования тезиса о безопасности СИИ или обоснованная критика аргументов и контр аргументов автора темы с естественно научных позиций или, напротив, расширение подтверждающей опасность СИИ аргументации автора. Понятно, что аргументы и контр аргументы оппонентов берущие начало в мутных и недостаточно обоснованных теориях отдельных комментаторов не могут быть отнесены к таковым.
В процессе обоснования тезиса опасности СИИ, приходится касаться вопросов СИИ строительства или отвлекаться на обсуждение таких категорий, как информация, неопределённость, энтропия и т.п., мои взгляды на эти вопросы являются вполне сложившимися, поэтому вступать в ожесточённую дискуссию по этому поводу не вижу смысла, однако обоснованное оппонирование по этим вопросом, так же может быть признано приемлемым.
Рассуждансы на тему существования какой-то ответственности за сохранение глубоких мыслей комментаторов мне не понятны. Любой из носителей этих глубоких мыслей имеет возможность изложить их без риска утраты для человечества в отдельной теме, которая может модерироваться её автором по его усмотрению.
Желающие нарастить "репутационный капитал" также могут не утруждаться комментированием в этой теме.
[
Ответ
][
Цитата
]
Luarvik.
Сообщений: 17287
На: Противоестественный сильный ИИ.
Добавлено: 21 апр 15 15:59
Цитата:
Автор:
31.211.0
Удивительно нервная реакция на намерение просто почистить тему от уводящих в сторону рассуждений.
Напомню, единственной целью инициирования этого обсуждения являлась попытка рационального обоснования опасности СИИ.
Ничего страшного не случится даже если Вы удалите всю тему, как совершенно беспредметную и... постороннюю, вроде "есть ли жизнь на Марсе, нет ли жизни на Марсе"...
Как это ни странно, но Бомба есть именно у тех, кто очень хорошо представляет себе ее опасность
[
Ответ
][
Цитата
]
ЭСГТР
Сообщений: 8461
На: Противоестественный сильный ИИ.
Добавлено: 21 апр 15 21:43
Цитата:
Автор: гость 31.211.0.*
Можно дискутировать на тему возможности и полезности СИИ различной природы, но фактом является инвестирование в создание СИИ хищного типа, т.с. по образу и подобию... Интеллект овощ, улучшающий "самочувствие", едва ли заинтересует инвестора по причине его сомнительной полезности и неочевидности самой возможности быть интеллектуальным в такой системе целеполагания.
У СИИ нет различной природы. Не путайте зверя с человеком. СИИ это соответствие организма внешним системным Разумным структурам. Всё остальное прикладное к ЕИ. А в каждом ЕИ-домике, свои комики.
[
Ответ
][
Цитата
]
Стр.25 (55)
:
1
...
21
22
23
24
[25]
26
27
28
29
...
55
<<
< Пред.
|
След. >
>>
Главная
|
Материалы
|
Справочник
|
Гостевая книга
|
Форум
|
Ссылки
|
О сайте
Вопросы и замечания направляйте нам по
Copyright © 2001-2022, www.gotai.net